Диоды Шоттки с пониженной высотой барьера на основе технологии нитрида галлия
Рис. 1. Зонная диаграмма низкобарьерной диодной гетероструктуры. На вставке — схема слоев в тестовой диодной структуре и фотография тестовой структуры в контакте с микроволновым зондом.
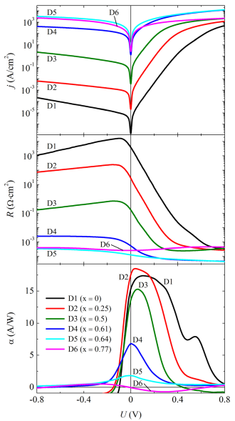
Рис. 2. Вольт-амперные характеристики, а также зависимости удельного дифференциального сопротивления и ампер-ваттной чувствительности от напряжения для диодов на основе гетероструктуры Al/AlGaN/GaN с различным содержанием Al в слое AlGaN.
Впервые в мире разработана эпитаксиальная гетероструктура сверхвысокочастотного диода Шоттки с пониженной высотой барьера на основе технологии нитрида галлия. Рабочими слоями гетероструктуры являются слой n+- GaN толщиной ~ 1 – 2 мкм, слой i-GaN толщиной ~ 100 нм, слой i-AlGaN толщиной ~ 1 нм и слой монокристаллического Al толщиной ~ 30 – 100 нм (см. вставку на Рис. 1). Снижение эффективной высоты барьера осуществляется за счёт управления количеством поляризационного заряда, возникающего на гетерогранице AlGaN/GaN (Рис. 1). Использование монокристаллического Al в качестве металла контакта Шоттки, выращенного в одном технологическом процессе с полупроводниковой гетероструктурой AlGaN/GaN, позволяет достигнуть высокой степени повторяемости характеристик тестовых диодов от образца к образцу. Исследованы характеристики тестовых структур диодов на постоянном токе, а также их линейные и детектирующие свойства в диапазоне частот от 10 МГц до 67 ГГц. Продемонстрирована возможность контролируемого снижения эффективной высоты барьера диода вплоть до значений ~ 0.2 эВ без ухудшения его нелинейных свойств. Полученные макеты диодных гетероструктур демонстрируют высокое значение ампер-ваттной чувствительности (~ 10 А/Вт) при низком значении удельного дифференциального сопротивления (~ 10-3 Ом×см2) в режиме работы диода без смещения (образец D4 на Рис. 2). При этом удельная ёмкость диода составляет ~ 10-7 Ф/см2.
Рис. 2. Вольт-амперные характеристики, а также зависимости удельного дифференциального сопротивления и ампер-ваттной чувствительности от напряжения для диодов на основе гетероструктуры Al/AlGaN/GaN с различным содержанием Al в слое AlGaN.
Впервые в мире разработана эпитаксиальная гетероструктура сверхвысокочастотного диода Шоттки с пониженной высотой барьера на основе технологии нитрида галлия. Рабочими слоями гетероструктуры являются слой n+- GaN толщиной ~ 1 – 2 мкм, слой i-GaN толщиной ~ 100 нм, слой i-AlGaN толщиной ~ 1 нм и слой монокристаллического Al толщиной ~ 30 – 100 нм (см. вставку на Рис. 1). Снижение эффективной высоты барьера осуществляется за счёт управления количеством поляризационного заряда, возникающего на гетерогранице AlGaN/GaN (Рис. 1). Использование монокристаллического Al в качестве металла контакта Шоттки, выращенного в одном технологическом процессе с полупроводниковой гетероструктурой AlGaN/GaN, позволяет достигнуть высокой степени повторяемости характеристик тестовых диодов от образца к образцу. Исследованы характеристики тестовых структур диодов на постоянном токе, а также их линейные и детектирующие свойства в диапазоне частот от 10 МГц до 67 ГГц. Продемонстрирована возможность контролируемого снижения эффективной высоты барьера диода вплоть до значений ~ 0.2 эВ без ухудшения его нелинейных свойств. Полученные макеты диодных гетероструктур демонстрируют высокое значение ампер-ваттной чувствительности (~ 10 А/Вт) при низком значении удельного дифференциального сопротивления (~ 10-3 Ом×см2) в режиме работы диода без смещения (образец D4 на Рис. 2). При этом удельная ёмкость диода составляет ~ 10-7 Ф/см2.
Оборудование
Контактное лицо
Публикации
• N.V. Vostokov, M.N. Drozdov, S.A. Kraev, D.N. Lobanov, A.V. Novikov, and P.A. Yunin. All-epitaxial Al/AlGaN/GaN low-barrier Schottky diodes. Appl. Phys. Lett. 121, 233507 (2022).• Н.В. Востоков, М.Н. Дроздов, М.А. Калинников, С.А. Краев, Д.Н. Лобанов, П.А. Юнин. Диоды Шоттки на основе монокристаллических гетероструктур Al/AlGaN/GaN для микроволнового детектирования с нулевым смещением. Журнал технической физики, том 95, № 6, с. 1148 – 1156 (2025).
