Исследование спектров излучения, пропускания, отражения и фотопроводимости различных структур и материалов методом фурье-спектроскопии высокого разрешения (до 0.003 см-1) в широком спектральном диапазоне (0.4 - 500 мкм) с использованием Bruker IFS 125HR
Инфракрасный фурье-спектрометр высокого разрешения Bruker IFS 125HR позволяет осуществлять исследование спектров излучения, пропускания, отражения и фотопроводимости различных структур и материалов в широком спектральном диапазоне (20-25000 см-1 или 0.4-500 мкм) с высочайшим спектральным разрешением (до 0.003 см-1). Указанный спектральный диапазон обеспечивается широким набором источников видимого и инфракрасного излучения, делителей пучка и фотоприемников, входящих в состав измерительного комплекса, в частности, высокочувствительного Ge фотоприемника ближнего ИК диапазона (1-1.7 мкм), используемого для исследования спектров фото- и электролюминесценции различных полупроводниковых структур, излучающих в данном спектральном диапазоне. Также прибор оснащен широким набором дополнительных устройств и принадлежностей, в том числе специализированной приставкой для измерения спектров отражения и пропускания с углом падения 11°.
Контактное лицо
Стоимость
6000-10000 руб./час без НДСРезультаты
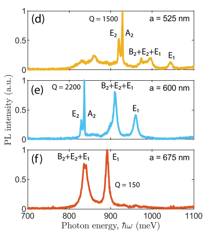
- Исследование излучательных свойств структур с самоформирующимися Ge(Si) наноостровками, встроенными в двумерные фотонные кристаллы с различными модами, в том числе с высокодобротными модами связанных состояний в континууме
- Формирование и исследование люминесцентных свойств латеральных светоизлучающих диодов и транзисторов на основе Si структур с Ge(Si) наноостровками, излучающих в спектральном диапазоне 1.3-1.55 мкм
- Исследование излучательных свойств массивов упорядоченных SiGe квантовых точек, сформированных на структурированной поверхности Si(001)
- Наблюдение коллективных мод в цепочках и массивах Si нанодисков с встроенными SiGe квантовыми точками
- Исследование спектров излучения оптически активных дефектно-примесных центров в Si
- Исследование стимулированного излучения инжекционных лазерных структур на основе дисковых микрорезонаторов с квантовыми точками InGaAs/GaAs
Заказчики
• Институт прикладной физики имени А.В. Гапонова-Грехова РАН• Институт физики микроструктур РАН
• Нижегородский государственный университет им. Н.И. Лобачевского
• Институт физики полупроводников им. А.В. Ржанова СО РАН
• Новосибирский государственный университет
• Сколковский институт науки и технологий
• Национальный исследовательский университет "Высшая школа экономики"
