Исследование вольт-амперных, вольт-фарадных и транспортных характеристик полупроводниковых структур на стенде на базе зондовой станции SemiShare SC-6
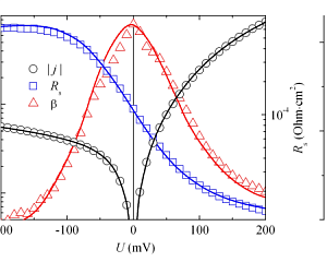
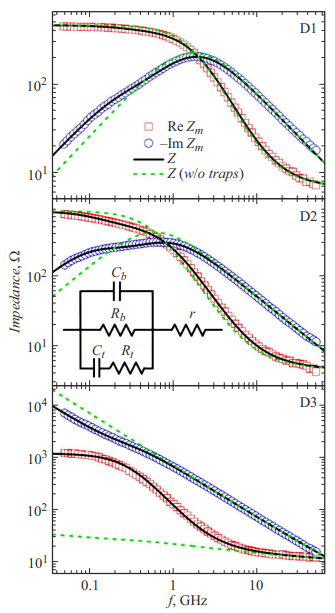
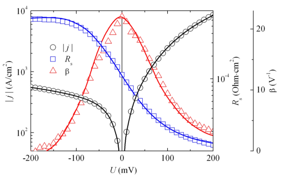
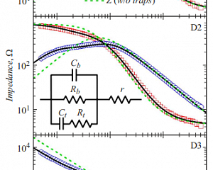
Проводятся исследования полупроводниковых структур и приборов на пластине различного назначения, относящихся к категориям сверхвысокочастотной электроники, силовой электроники, квантовой электроники и др. Доступны стационарные, импульсные и высокочастотные измерения исследуемых образцов. Обеспечен широкий диапазон параметров проводимых измерений, таких как величина напряжения и тока, частота и длительность сигнала, температура образца.
Контактное лицо
Стоимость
6000 руб./час без НДСЗаказчики
• Институт физики микроструктур РАН• Институт прикладной физики им. А.В. Гапонова-Грехова РАН
• Нижегородский государственный университет им. Н.И. Лобачевского
• АО «НПП «Салют»
• ООО «МеГа Эпитех»
• ООО «НЬЮ ДАЙМОНД ТЕХНОЛОДЖИ»
• АО "Воронежский завод полупроводниковых приборов - сборка"
• ФГУП "Российский федеральный ядерный центр - Всероссийский научно-исследовательский институт экспериментальной физики"
• АО «СКАНДА РУС»
