Влияние термического отжига на транспортные свойства низкобарьерных диодов Мотта Ti/AlGaN/GaN с приповерхностным поляризационно-индуцированным дельта-легированием
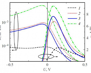
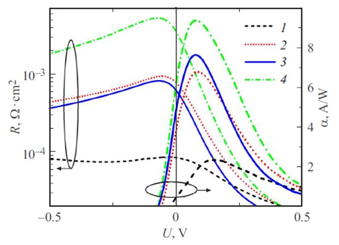
Зависимости удельного дифференциального сопротивления и ампер-ваттной чувствительности диода D3 от напряжения до и после последовательно проводившихся процессов отжига. Кривые 1 — до отжига; кривые 2, 3 и 4 — после отжига при температурах 300, 500 и 700◦С соответственно.
Изучено влияние термического отжига на транспортные свойства низкобарьерных диодов Мотта Ti/AlGaN/GaN с приповерхностным поляризационно-индуцированным дельта-легированием. Показано, что термический отжиг может оказывать сильное влияние на дифференциальное сопротивление, эффективную высоту барьера и нелинейные свойства низкобарьерных диодов Мотта Ti/AlGaN/GaN с приповерхностным поляризационно-индуцированным дельта-легированием. Это дает дополнительные возможности для управления транспортными характеристиками диодов и их тонкой настройки. Отжиг может использоваться для ”закалки“ низкобарьерных диодов, предназначенных для работы при высоких температурах
Изучено влияние термического отжига на транспортные свойства низкобарьерных диодов Мотта Ti/AlGaN/GaN с приповерхностным поляризационно-индуцированным дельта-легированием. Показано, что термический отжиг может оказывать сильное влияние на дифференциальное сопротивление, эффективную высоту барьера и нелинейные свойства низкобарьерных диодов Мотта Ti/AlGaN/GaN с приповерхностным поляризационно-индуцированным дельта-легированием. Это дает дополнительные возможности для управления транспортными характеристиками диодов и их тонкой настройки. Отжиг может использоваться для ”закалки“ низкобарьерных диодов, предназначенных для работы при высоких температурах
Контактное лицо
Краев Станислав Алексеевич, Ведущий технолог отдела технологии наноструктур и приборов
(831) 417−94−96 (+202, +249)
