Структуры сверхпроводник/нормальный металл с эффектом близости
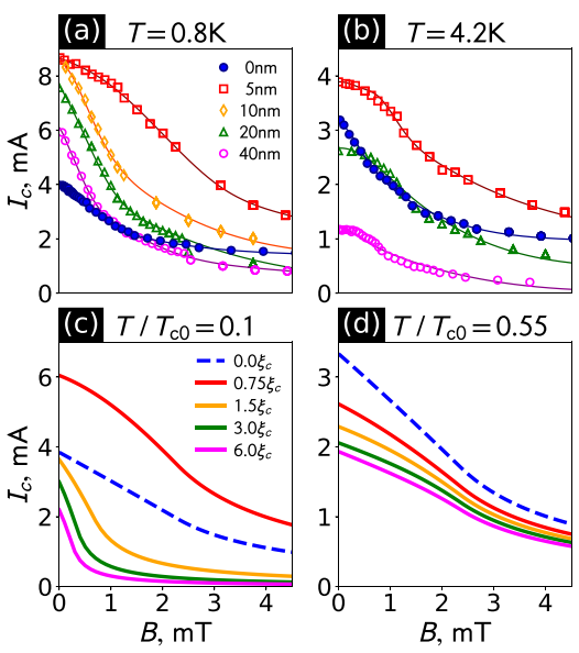
Рис. 1. (a), (b) – экспериментальная зависимость критического тока мостиков MoN/Cuот магнитного поля при различной толщине слоя Cu;(с, d) – теоретическая зависимость критического тока от толщины Cu, выраженной в единицах длины когерентности.
Отработана технология изготовления структур MoN/Cu с эффектом близости, который проявляется в наведении сверхпроводимости в пленке нормального металла. Слои нитрида молибдена формировались методом реактивного магнетронного распыления молибденовой мишени в атмосфере смеси аргона и азота.
Отработана технология изготовления структур MoN/Cu с эффектом близости, который проявляется в наведении сверхпроводимости в пленке нормального металла. Слои нитрида молибдена формировались методом реактивного магнетронного распыления молибденовой мишени в атмосфере смеси аргона и азота.
Оборудование
Контактное лицо
Гусев Никита Сергеевич, ведущий технолог ИФМ РАН
+7 (831) 417−94−89 (+126)
Публикации
• S. S. Ustavschikov, M. Yu. Levichev, I.Yu. Pashenkin, A. M. Klushin and D. Yu. Vodolazov. Approaching depairing current in dirty thin superconducting strip covered by low resistive normal metal // Supercond. Sci. Technol. 34 015004 (2021)• M. Yu. Levichev, I. Yu. Pashenkin, N. S. Gusev, and D. Yu. Vodolazov. Voltage controllable superconducting state in the multiterminal superconductor–normal-metal bridge // Phys. Rev. B 103, 174507 (2021)
• Ustavschikov, S.S., Levichev, M.Y., Pashen’kin, I.Y. et al. Negative Differential Resistance and Shapiro Steps in a Superconducting MoN Strip with a Cut. JetpLett. 115, 626–633 (2022)
• Ustavschikov, S.S., Levichev, M.Y., Pashenkin, I.Y. et al. Diode Effect in a Superconducting Hybrid Cu/MoN Strip with a Lateral Cut. J. Exp. Theor. Phys. 135, 226–230 (2022)
• S. S. Ustavschikov, M. Yu. Levichev, I. Yu. Pashen’kin, N. S. Gusev, S. A. Gusev, D. Yu. Vodolazov. Vortex Dynamics in Superconducting MoN Strip with a Side Cut // J. Exp. Theor. Phys. 137, 372–383 (2023)
• Levichev M.Y., Pashenkin I.Y.,Gusev N.S.,Vodolazov D.Y. Finite momentum superconductivity in superconducting hybrids: Orbital mechanism // Physical Review B 108(9), 094517 (2023)
