Туннельные магниторезистивные контакты с барьером Al2O3
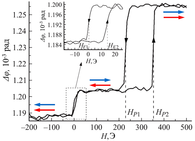
Для наведения однонаправленной анизотропии в закрепленном слое напыление производилось в магнитном поле величиной 150 Э, создаваемом постоянным магнитом, встроенным в подложкодержатель. На рис. 1 (б) приведена магнитооптическая кривая намагничивания одной из полученных структур. На рис. 2 приведены кривые магнетосопротивления ТМР контактов прямоугольной формы в зависимости от аспектного соотношения.
Отработана технология изготовления туннельных магниторезистивных (ТМР) контактов NiFe/Al2O3/CoFe/IrMn, демонстрирующих магнетосопротивление величиной 10 – 15 % при комнатной температуре. Многослойные структуры Ta(20)/Pt(20)/Ta(20)/Pt(5)/Ta(5)/NiFe(7)/ Al2O3(d)/CoFe(7)/IrMn(15)/Ta(5)/Pt(5) формировались на подложках Si/SiO2 методом магнетронного распыления на установке ATC 2200-VSPUTTER SYSTEM (AJA International, Inc.). Перед проведением ростового процесса подложки подвергались ионной обработке в высокочастотной аргоновой плазме. Остаточное давление в напылительной камере не превышало 3 × 10−7Торр, рабочее давление аргона в процессе напыления составляло 2 × 10−3Торр. Диэлектрические слои Al2O3 получались методом реактивного высокочастотного магнетронного распыления металлической мишени Al в атмосфере смеси газов Ar и O2. Толщина диэлектрика d для разных образцов варьировалась от 0.9 до 1.5 нм. Формирование всех слоев структуры производилось в одном технологическом процессе безнарушения вакуума. На рис. 1 (а) приведено изображение поперечного среза ТМР-структуры, полученное на просвечивающем электронном микроскопе.
Оборудование
Контактное лицо
Гусев Никита Сергеевич, ведущий технолог ИФМ РАН
+7 (831) 417−94−89 (+126)
