Топологический эффект Холла
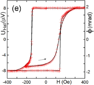
При помощи лазерной литографии были изготовлены структуры для наблюдения топологического эффекта Холла. Для исследования эффекта в тонких ферромагнитных пленках используется метод, сочетающий одновременные измерения эффекта Холла и магнито-оптического эффекта Керра. Метод основан на идее о том, что проявления топологических эффектов различны на постоянном токе и на оптических частотах. С помощью этого метода был исследован топологический эффект Холла в искусственных решетках магнитных круговых доменах в наноструктурированных многослойных системах Co/Pt с перпендикулярной магнитной анизотропией.
Оборудование
Контактное лицо
Гусев Никита Сергеевич, ведущий технолог ИФМ РАН
+7 (831) 417−94−89 (+126)
