Качественный и количественный фазовый анализ для исследования химической кинетики в системе YAG-YAM-YAP
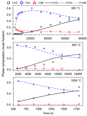
На рентгеновском дифрактометре Bruker D8 Discover был проведен качественный и количественный фазовый анализ нескольких десятков образцов порошков, полученных в различных условиях при кристаллизации из золь-геля в системе оксидов иттрия-алюминия. Полученные данные позволили построить графики химической кинетики для данной системы и определить оптимальные условия протекания требуемой реакции.
