Измерение кинетики фотоотклика узкозонных эпитаксиальных пленок InN
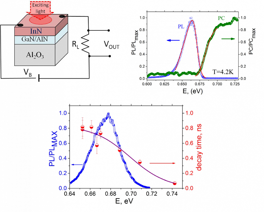
Исследованы временные характеристики фотоотклика эпитаксиальных пленок n-InN - кинетика фотопроводимости (ФП) и фотолюминесценции (ФЛ). При ряде условий по температуре и режиму накачки струткур обнаружена отрицательная фотопроводимость, объясняемая перезарядкой глубоких центров и соответствующим снижением подвижности основных носителей заряда. Эти результаты косвенно подтверждаются данными времяразрешенной ФЛ, указывающей на значительную роль захвата неравновесных носителей на центры локализации в определении излучательных свойств изучаемого класса структур.
